光学滤光片生产规格参数
为了了解光学规格,首先弄清楚它们的含义是非常重要的。 为了简化日益繁多的数字,请考虑为透镜、 反射镜和窗口片使用最常用的生产规格、表面规格和材料规格。 滤光片、偏振片、棱镜、分光镜、光栅也具有许多这类光学规格,因此了解最常用的规格将为 您了解几乎所有光学产品的规格提供最坚实的基础。
一、生育产品规格
直径公差

中心厚度公差
曲率半径
h3>中心
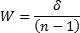
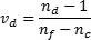
透镜的中心也称为向心性或离心性,是根据光束偏差Δ(方程式1)而指定的。一旦给定了光束偏差,则可以通过一种简单的关系来计算楔角W(方程式2)。 透镜的离心量是机械轴与光学轴物理偏离的距离。透镜的机械轴仅为透镜的几何轴,是由其外部的柱面来定义的。 透镜的光学轴是由光学表面来定义的,它是连接各表面曲率中心的线。要进行向心性测试,请将透镜置于茶杯中,对其施压。 对透镜施加的压力会自动聚集在茶杯中心第一个表面的曲率中心,并且该中心还会与 旋转轴对齐(图2)。沿着此旋转轴射入的平行光将会穿过透镜,到达后焦平面的焦点处。当透镜随着茶杯的旋转而旋转时,透镜中的任何离心性都会使聚焦光束分散,并在后焦平面形成一个半径为 Δ 的圆轨迹(图1)。

(1)、
(2)、
平行度
角度公差

倒角

表1:倒角公
网套直径 | 倒角的最大化面横向 |
| 3.00mm- 5.00mm | 0.1mm |
| 5.01mm -25.4mm | 0.25mm |
| 25.41mm -50.00mm | 0.3mm |
| 50.01mm - 75.00mm | 0.4mm |
通光孔径

图5: 此图列出了滤光片的通光孔径和直径
| 通光内径 | 直徑 |
| 3.00mm -10.00mm | 90% 半径 |
| 10.01mm - 50.00mm | 网套直径 -1mm |
| ≥50.01mm | 直徑 -1.5mm |
二、外壁年纪
表面质量
光学表面的质量用来衡量光学产品表面特性,并且涵盖了一些划痕和坑点等瑕疵。这些表面的大部分瑕疵纯粹是表面上的瑕疵,并不会对系统性能产生很大的影响,虽然,它们可能会使系统通光量出现微小的下滑,使散射光出现更细微的散射。然而,有些表面会对这些影响更敏感,如:(1)图像平面的表面,因为这些瑕疵会产生聚焦,以及(2)具有高功率级别的表面,因为这些瑕疵会增加能量吸收并毁坏光学产品。表面质量最常用的规格是由MIL-PRF-13830B说明的划痕和坑点规格。通过将表面的划痕与在受控的照明条件下提供的一系列标准划痕进行对比,来确定划痕名称。因此,划痕名称不是描述其实际的划痕,而是根据MIL规格将其与标准的划痕进行比较。然而,坑点名称直接与表面的点或小坑有关。坑点名称是通过以微米计的坑点直径除以10来计算的,通常划痕坑点规格在80至50之间将视为标准质量,在60至40之间为精确质量,而在20至10之间将视为高精度质量。
表面平面度
光圈数
不规则度
表面加工
三、的材料年纪
折射率
| 0 | +/- 50 x 10-6 |
| 1 | +/- 20 x 10-6 |
| 2 | +/- 5 x 10-6 |
| 3 | +/- 2 x 10-6 |
| 4 | +/- 1 x 10-6 |
| 5 | +/- 0.5 x 10-6 |
色散系数
(3)、