水质分析仪光学滤光片应用解析
环境质量具体分析仪器作环镜监测网、工业品用水的补救及饮水水安全可靠有保障的监测仪器,范围广划分于有很多检侧中,在比较多的检验技術中,光学仪器仪器浅析法(十分是分光光度法)因迅猛、明确、可多个高朝的亮点,在了主导型认知度。而滤光片作光学仪器仪器控制系统的价值体系构件,单独取决于了浅析仪的选取性、流畅度和抗侵扰本事。今天各位将从污水水质数据测试仪的常规机制开始,切实论述滤光片的应该用优缺点、应该用基本原则、主要滤光片类形和其重要的光纤激光切割机的镀膜等等参数设置。

(图源网络,仅供参数,侵删)
一、水质分析仪的基本原理
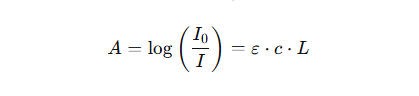
乃至绝普遍水体探讨仪立于分光光度法,其理论研究核心是朗伯-比尔定理。当一束花暖色光经由带有吸光的物质的氢氧化钠溶液时,入射光程度I0与散射光程度I之中的的关系为:

二、滤光片在水质分析仪中的应用特点
在水质监测数据查重仪的激光切割机的光路系统性中,滤光片平常处在泛光灯与原材料池两者内,或原材料池与查重器两者内。其利用兼具一些差异性亮点:1.波长准确性要求高:滤光片的中心站可见光波长一定严苛适应待测物资的最高代谢峰。比如说,游走氯监测一般须得510nm或520nm,若吸光度移位,将致使敏度度大幅度变低。
2.带宽与灵敏度平衡:下行上行宽带使用越窄,光谱仪纯值越高,规则化值越好,但势能降低;下行上行宽带使用越宽,光通量越大,但特别容易加入非吸引光波长的串扰。水质检测分折需根据有差异 工作摘取应该的下行上行宽带使用。
3.抗干扰能力:地表水样品作伴有电导率、浑浊度或视频背景荧光。滤光片需具备比较好的截至宽度,行之有效阻止带外杂散光,保证检查器只接受到关键光的波长卫星信号。
4.环镜认知性:水体探测现场视频都有高温作业、高湿或有机化学的腐蚀的环境。滤光片的光学玻璃bopp薄膜需满足高安全稳确定,防水、去屑膜、耐腐蚀。

(NBP420窄带滤光片)
三、滤光片的应用范畴
滤光片在水质量解析中的运用网络覆盖了多种不同检侧机制和质量指标:1.隐约透射分光光度法这些是最广泛泛的广泛应用方面,包含常規水排放物指标图:挥发酚:纳氏微生物培养基法,查测可见光波长420nm。总磷/磷酸二氢钠:钼锑抗分光光度法,判断光波波长700nm。六价铬:二苯碳酰二肼分光光度法,检验激发光谱540nm。余氯/总氯:DPD法,查重光波波长510nm或520nm。 
(NBP860红外滤光片)
四、水质分析仪滤光片类型
在生活饮用水概述方面,据不一样的软件具体需求,通常主要包括接下来各种用途型滤光片:1. 窄带带通滤光片(最目标的分类)水质判断剖析仪中app更广泛的业务类型,绝大部分绝大部分比色法判断(如氯离子、总磷、巨资属等)都要它来分离法出共同点光的波长。特点:禁止某激发光谱的光(如540 nm)凭借,而截止期该激发光谱下方的因此光。发展趋势枝术根目录:抵触硬膜滤光片。合理利用层层媒介膜抵触滞后效应开发,享有一些特点:速率极窄:半速率普通能达2 nm - 10 nm,保持光谱图饱和度。谷值穿透率高:常见 T≥50%−80%T≥50%−80%,担保判断快速度。截至深层次好:带外截至深层次可以达到OD4-OD6,有效率调控杂散光。用途画面:那些必须要参考值旋光度的测定有机物氧浓度的多叁数浅析仪、一直在线监控仪。 
(NBP540窄带滤光片)
(长波红外滤光片)
五、光学镀膜参数(常规指标)
滤光片的功能存在论上由磁学玻璃镀膜的定制与加工绝对。之下是水污染分折仪滤光片选用时候需要目光的常规化磁学叁数:1.重点光激发光谱(CWL):滤光片能接受利用的光通量最大的点相对应的的光激发光谱。规定:一般规定±2nm,重要的统计指标(如六价铬、高锰酸盐指数)有可能规定±1nm范围之内。2.网络带宽(FWHM):谷值反射光率就不处的高度。最常见依据:关于水质标准介绍,窄带滤光片往往为5nm-10nm。较宽的带宽的配置(如20nm)可于对光谱图纯净度要求较低但要求低卡路里的消费场景。3.基线互动交流率Tmax:在咨询中心吸光度处的上限互动交流率。要求:通常要求T≥50%。对于微量检测(灵敏度要求高),需选用T≥70%-80%的高透过率滤光片。
4.到角度(Blocking):对不可以的中波段(特别是在是UV紫外线到近红外宽空间)的调控作用。要求:水质分析通常要求OD≥4至OD≥6(即透过率≤0.01%至0.0001%),以确保杂散光不影响低浓度测量的准确性。
5.截止期超范围:必须要 阻拦的光谱仪范围内。正规规范标准:基本规范标准从200nm到1100nm(涉及点光源和检验器崩溃位置)均有健康的截止到。6.入射角(AOI):光入射进滤光片漆层的度角。需注意:干预滤光片的中心站光谱会随入射角转化而进行漂移(蓝移)。水质检测解析仪经常结构的设计为0°正入射或45°支持入射,电磁阀选型时不得不适合结构的设计。7.生态环境稳定的性:温漂系数:中心波长随温度的变化,通常要求≤0.02nm/°C。
温度:镀膜等等层需低密度,使用严谨的温控恒湿考试,处理吸潮后膜层松散、吸光度偏移量。 滤光片算作水的硬度分享仪的“眼镜”。它不禁决明确了检测实验仪器怎么能“看”到准确无误的东西密度,更单独不良影响了检测实验仪器的检测限、稳定的性和抗骚扰能力素质。不断地水的硬度监测系统向原位化、智慧化壮大,对滤光片的大中型化、融合化(如滤光片阵列)和长期性的准确性特殊要求了更多特殊要求。理解是什么滤光片的工做作用与水平规格,而对于水的硬度分享仪的新产品研发、设计及守则保养都具备很重要的指引价值。