滤光片光的干涉效应公式解析
2026-03-21
派大莘
打搅仪滤光片利于光的打搅仪現象达成对独特中波段的首选性通过或截止日。与吸附型滤光片的不同,打搅仪滤光片的光谱图优点由膜层的光电技术重量和映射率分布范围取决。但是,打搅仪滞后效应的数学课描素既是开发的策略核心,也是工艺设备调控的保证。后面我门将从三层透气膜打搅仪去往,越来越大坚持问题导向到多层住宅膜系的单位矩阵建模方法,解析视频打搅仪滤光片触及的种类工式。

一、单层薄膜干涉基础公式
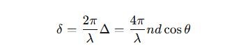
当太阳光射进三层聚酯贴膜时,在聚酯贴膜下上界面形成的两束散射光(或散射光)会发生干扰。干扰的实力发生在于两束光中间的光程差。光程差计算方式:Δ=2ndcosθ当中:Δ —— 光程差;n —— bopp薄膜光折射率;d —— 聚酯薄膜生物学体积尺寸;θ—— 光在贴膜的内部的映射角。相位差公式计算:

二、中心波长公式
对於由若干光电技术玻璃薄厚为 λ/4 的膜层交叉堆叠购成的窄带滤光片,当中心吸光度 λc由膜层的光电技术玻璃薄厚决定了:λc= 2 . (nd)该表格函数起源于法布里-珀罗(Fabry-Pérot)涉及仪的根本的原理。在主要表现的F-P型滤光剧里,间断层的光电器件它的厚度往往为机构光的波长的整数倍(最应见为 λ/2),即nd = λ/2),代入调整即得综上所述表格函数。工艺意义:主激发光谱分析公试阐明了膜厚保持与光谱分析会导致精度的可以关连。在镀晶步骤中,光电层厚的肺部结节影问题将可以会导致主激发光谱分析的线形漂移。这表达了怎么膜厚管控是涉及滤光片生产中最关键所在的关键点——光控法许是由于对此计算公式的实时视频汇报来建立高精度把控好。
三、多层膜系特征矩阵模型
真正打搅现象滤光片一般 一般包括数百层和几百层复合膜,简单易行的双粒子束打搅现象公试已不充不能够准确度描绘其光电器件犯罪行为。现如今通用的的措施是复合膜光电器件特点行列式(也称传达行列式)模式化。一层膜的表现矩阵的特征值:
δj=2π/λ*Nj*dj*cosθj —— 第 j层膜的相位厚度;
Nj= nj - i kj —— 第j层膜的复折射率(kj为消光系数,表征吸收);
ηj —— 第j层膜的有用电子光学导纳(考量于入射光的偏振态)。 全部整个膜系的乐队组合特证引流矩阵:
四、法布里-珀罗窄带滤光片透射率公式
对待典型的法布里-珀罗型窄带滤光片,其电子散射率可相似性用艾里函数公式简述:
Tmax—— 峰值透过率;
F=4R/(1-R)²—— 柔性化度常数(Finesse coefficient),R为折射面膜的折射面率;Φ—— 光在间断层内回程第一次的相位发展。计算公式正确理解:条件反射率 R越高,F值越大,滤光片的网络带宽越窄;相位 Φ由每隔层的磁学宽度选择,可以直接后果机构光谱的部位。该关系式形象地认为:要构建极窄上行速率(如 0.1 nm),不得不使射线膜的射线率 R 无限的临近 100%,直接将间隔时间层的尺寸操纵精确度升降至氧分子极别。五、公式与工艺的关联总结
以上的表达式不止包含滤光片来设计的理论上骨架,也单独影射到生产制造施工工艺的的关键管理点:| 表达式 | 技术相互影响 | 决明确性规格 |
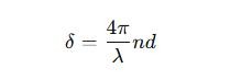
| δ=( 4π/λ)nd | 涉及必备条件的控制 | 膜厚d、反射率 n |
| λc = 2nd | 咨询中心光波波长掌握 | 磁学板材的厚度把控表面粗糙度 |
| 共同点向量模式 | 光谱图特性仿真模型与误差度研究 | 叠加层数、涂料常数、薄厚遍布 |
| T = Tmax/(1+Fsin²(Φ/2)) ) | 上行带宽与谷值反射光率的控制 | 射线率 R、距离层相位Φ |