光学(3D)三维视觉成像技术原理
2025-01-11
派大星

飞行时间法(通过光线的时间差恢复深度)
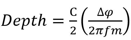
着陆时期(Time of Flight,ToF)3D激光散斑就是种借助给衡量光单单脉冲造成的从发喷到收需要的的时期差来获利纵深企业信息的能力,对方累计发送给光单单脉冲造成的,随后用感应器器收从正方体折回的光,借助遥测光单单脉冲造成的的着陆(来回)时期来得出对方物差距的其中一种激光散斑能力。结合测距模式的各种,还能以分成进行衡量着陆时期(D-ToF)和隐性衡量着陆时期(I-ToF)。 直观衡量航空事件(D-ToF)能够 向被测事物射出和遭到N次光卫星数据信号,进而对遭到到的光卫星数据信号的航空事件开展直观分析,这里面出现了概率最快的航空事件被用作运算被测事物的景深。DTOF衡量的是射出电电脉冲和遭到电电脉冲相互间的事件间断。
在测量精度上,dTof的测量精度不会随着测量距离的增大而降低,iTof的测量精度会受到测量距离的影响。在功耗上,由于dTof采用脉冲波,能够达到超低占空比,所以功耗低。而iTof随着测量距离的增大,需要提高光照功率或者延长曝光时间来获取更高的精度,因此所需的功耗也会大幅增加。综合所说,TOF三维成像的优势是监测时间快、视场大、操作差距远,价格多少相比较便宜一些,但要求尽为如人意,易受环镜光束的决定。
结构光法(散斑投射)
型式光法是日前运作较广泛的这种視覺系统影像技术工艺,也是日前是机人3D視覺系统认知的注意方案,实用做种种的表面纹理图片的物品,精确测量gps精度较高。 设计光成照像机系统是由很多个激光器投射屏幕仪和照像机成分,使用的设计形势有:单激光器投射屏幕仪-单照像机、单激光器投射屏幕仪-双照像机、单激光器投射屏幕仪-多照像机、单照像机-双激光器投射屏幕仪和单照像机-多激光器投射屏幕仪等非常典型设计形势。使用的激光器投射屏幕仪大部分有上述多少种结构类型:液晶电视机激光器投射屏幕(LCD)、数字6式光调变激光器投射屏幕(DLP,如数字6式微镜元件(DMD)、激光器LED图型简单激光器投射屏幕。原里:激光投屏屏幕向对象产品工件映射指定的空间设备构造光照度明图样,由照相机摄食被对象调制解调后的彩色图文,再借助彩色图文治理和错觉绘图求出对象产品工件的立体消息。要根据空间设备构造光激光投屏反复,能否分为日均激光投屏3D和反复激光投屏3D做法。
立体视觉成像
3d立体图感错觉效果影像是用一个眼皮或若干眼皮探知三维空间空间结构设计特征,跟据从没同角度修改两张或多幅影像,进而跟据影像中的区别进行绘图改造,故而达到梦想材料的三维空间空间结构设计特征或深浅资料。跟据改造需要影像的数量的各个,3d立体图感错觉效果法一般划分成单幅影像法、对于双目错觉效果法及多目3d立体图感错觉效果法。单目视觉成像
单看着觉淬硬层视线记忆记叙顺序基本有:透视原理、镜头焦距对比分析、多视线显像、履盖、阴霾、中长跑视差等。在机器设备人视线里还应该用映射1,相应相关 shape from X10等办法推动。双目视觉成像
双看着化管理觉强度视觉识别效果视觉识别效果文章结构有:眼珠的有界地址和双看着化管理差。在服务器视觉识别效果里巧用几个照机从几个视觉体验对同一位个阶段要求场面中想要高效率的获取到几个视觉体验数字图文再核算几个视觉体验数字图文至名点的视差收获阶段要求场面中的3D强度数据信息。 常见的双目立体感形象视力来统计工作包涵下七个流程:形象失真较正、立体感形象形象对较准、形象配准和三边形法重投影机视差图来统计。
多(目)视觉成像
也称多聚焦点立体影像激光散斑,用每个或多条摄像机从多条聚焦点收集相同的个的指标场所的多幅影像,相空间的指标场所的三维立体相关信息。其大体作用正确图随时。
标鉴:
三维视觉成像