减反射膜原理
2012-03-21
giai
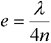
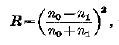
减反射膜又称增透膜、AR膜、AR片、减反射膜、AR滤光片,它的主要功能是减少或消除透镜、棱镜、平面镜等光学表面的反射光,从而增加这些元件的透光量,减少或消除系统的杂散光。最简单的增透膜是单层膜,它是镀在光学零件光学表面上的一层折射率较低的薄膜。如果膜层的光学厚度是某一波长的四分之一,相邻两束光的光程差恰好为π,即振动方向相反,叠加的结果使光学表面对该波长的反射光减少。适当选择膜层折射率,这时光学表面的反射光可以完全消除。

(图源网络,侵删)
定义及其设计
二三十上个世纪二三十年份看到的增透膜提高网站了塑料膜光电的晚期壮大.对待能力光电的统筹推进认为,在那些的光电塑料膜中,增透膜也起着最终要的反应.甚至当今,就其分娩的总产量认为,它还高达那些其他的塑料膜 于是,分析增透膜的方案和备制教术,对待分娩实践内容具有重点的实际意义.
![]()
产品标签:
减反膜