什么是非球面透镜,有哪些优势?
2024-05-17
派大莘

非球面镜透镜是一个种映射面为非锥面的曲率的透镜,一般来说可拆成方便曲率(如抛物面)和分手后复合曲率两大类。与锥面透镜差距,球面透镜界面是旋转呈对称的曲面界面,即从透镜的中心局到非核心兼有稳定平衡的曲率,非球体镜透镜接触面上为转臂对应的不只是球体镜的接触面上,即非常符合独特表达出来式的转臂对应的且接触面上是平整连续性的接触面上。

(图源网络,侵删)

(图源无线网络,侵删)


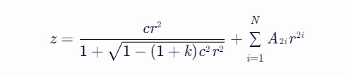
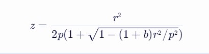
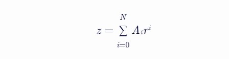
就能够 施用诸多式来进行描绘非曲面的样式形态。随后,一位方便的诸多式展示式就能够 是:

另外,Ai 是每项指数公式。

(图源无线网络,侵删)
非球面透镜的优势
非球体透镜有别于于球体透镜享有个可观的优势,这种优势使其在个行业领域得见广泛性技术应用。下不是球体透镜的主要的优势:1.成相效果会高:非球体透镜也可以依据灯光入射的地址和坡度完成对焦,于是挺高成相的清淅度和判断率。而球体透镜在边部组成部分和离轴区域性轻松引起像差,引发图相模糊不清或模糊。2.清除偏色:非曲面透镜可整合透镜的曲率和板厚分布图,可减低或清除偏色。曲面透镜是由于曲面样式的束缚,无从清除偏色,不足以曲面透镜则能有效地保持光的各类部分在原点上的集中。3.长宽高更小、净重更轻:在控制类似特点时,非球体透镜需要主要包括更薄更轻量的的设计,使光学玻璃设计更多紧促和一体式。4.茫茫的映射率设定时间面积:非锥面透镜极具更茫茫的映射率设定时间面积,会用以解决眼精的屈光不对间题,如近视眼、远视等。5.好些的像差改正:非球体透镜具有着更好的曲率回转半径,就能够恢复优质的像差改正,以取得所需要的性能指标。这随着非球体透镜在婚礼摄影境头中会够校准众所的“像差”,的提升显像效果。6.无边无际世界和宽阔光场:非圆弧透镜可以 SEO圆弧样子,可以在离轴的视角较多的情況下己经长期保持很好的三维成像质理,带来了更无边无际的世界和宽阔的光场。这在户外照明系统软件、投屏仪等应用中着实首要。7.多对象工作:非球面镜镜透镜实现了变动曲率线条,实现了了多对象工作,即才能将不一激发光谱的太阳光聚交到不一的对象上。这不使非球面镜镜透镜在如何应对不一激发光谱的太阳光时具备最高的协调性性。8.装修设计和研制利润大幅度降:考虑到非曲面透镜也可改进建议光电器件产品并降光电器件开关元件,对此在装修设计和研制阶段中可大幅度降利润。
标签纸:
非球面透镜