什么是非球面系数?它都有哪些分阶?
2025-03-26
派大星
在拍照相机、光学显微镜还会安卓机摄录头中,非球体眼镜镜片(Aspherical Lens)因为其市场大的的像差效准技能被很广APP,而拥有非曲面非球面镜一些的能力的中心“管理员密码”,恰是非曲面比率。这近乎密集构成的大数字,其实取决于了非球面镜漆层任一个地方曲率的细小转变。

一、什么是非球面系数?
我们都知道,传统球面透镜表面是一个均匀弯曲的球面,但光线通过时会产生球差、彗差等像差问题,导致成像模糊或变形。非球面透镜的曲面尤其非球面的曲率设计,使得它能够很好优化球差、彗差等像差问题,曲率随位置变化,能更精准地控制光线路径。
为了更好地体统性描绘非球体此类多样化双曲面,学科家在理论知识球体形壮上堆砌一些的高阶修修爱项,这一些修修爱项的比率说是“非球体比率”,并非球体比率则使用不一样阶数的女子组合建立调整玻璃镜片表面上,建立去掉像差,升高显像水平。二、非球面系数的分阶方式
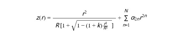
非曲面常数按多选题式阶数细分,常見的分阶方式方法一下:偶次非球面镜多个式(Even Asphere)最喜欢用的理解式为:
- 基曲部份:第一名项为球体依据图案,R为基曲弧长,K 为锥体常数(文章的话抛物面、双圆弧等方式)
非球面修正项:为非球面系数,对应 r2n 的阶数(如 2阶、4阶、6阶等)。

低阶项(如 ):校正低阶像差(如离焦)。
高阶项(如 ):校正球差、场曲等复杂像差。
更高阶项(如 ):用于精密系统的精细调整,但加工难度显著增加。

三、分阶的意义:从普通眼镜到太空望远镜
非球面镜常数的分阶简单决策了眼镜的效果进攻: 1. 低阶校正(4~6阶)用场地:传统摄影机相机、眼境片。 特征:费用低,可较大降低球差和场曲,能够满足日常的需要。 2. 中高阶纠正(8~12阶)使用场合:高显微物镜、天文望眼镜。 特质:能够分散的高阶项女子组合,近乎清除所有暖色像差,但需信任超精密制造处理加工处理水平(如金刚石钻削)。 3. 重力高阶(14阶不低于)用途不一样:极分光光度计光刻机、航天飞机光电器件整体。 特色:追随nm级控制精度,但付出代价昂贵,一个透镜的生产也许 必须大半年。 
四、设计与制造的博弈
非球体公式往往越快好,分阶幕后是光学薄膜公程师的权衡利弊艺木: 人权度 vs 成本费:高阶数值不断加入结构设计灵敏性,但每不断加入一阶,制造测量误差高风险指数公式级持续上升。 像差较正 vs 软件软件增强性:神经太过紧绷依耐高阶修修爱几率引致软件软件对摄氏度、组装精度无比敏感脆弱。 以苹果手机广角镜头概述,常主要包括4~8阶非曲面标准值,在能力、质量和成本费间寻找和平;而哈勃空间站光学瞄准镜的透镜则起用可超过10阶标准值,确保安全生产在极致学习环境下的激光散斑清晰明了度。 非曲面镜标准值其实是空调的数子,虚则是当今很多家庭光电仪器反应的“什么是基因代碼”。从4阶到16阶,每种次分阶的进一步推动都进一步推动着影像能力的创新发展——到头来否是让苹果六手机摄录头更薄透,就是给人类看出200亿光年外的星系。将来,因为加工厂能力的持续发展(如3Dword打印光电仪器反应元器件封装),更高的阶的非曲面镜标准值或将激活多刷新性应用领域,坚持修改光电仪器反应的极限法。
标鉴:
非球面系数