条纹度:光学玻璃内部密度不均的隐形杀手
2026-04-09
派大莘

一、条纹的物理本质:折射率的三维波动
竖纹是以光学仪器窗户钢化玻璃内反射率呈竖纹状或层状不更加均匀分布不均的状况。其根本是窗户钢化玻璃在熔融、冷却后或热处理回火时候中,可能成分表、温度因素或热应力性别差异造成的轮廓反射率影响。竖纹的幅度过经常用反射率较差Δn说明,类型临界值±1×10⁻⁵ 至 ±1×10⁻⁴,频发时可高达到±5×10⁻⁴。1.1 竖纹的怎么样功能基本特征:细细的状、层状、网格状、漩涡状路径:沿安全玻璃流量路径、竖直于冷去面、随机函数分布不均尺寸:总宽从数分米到百余分米,总长从分米到理米1.2 斑纹的电子光学效用当水平面波用花纹区城时,波前会再次发生小面积的相位延长或精确性。选择标量衍射学说,这样的相位失真会会导致:准确把握亮斑变大(斯特列尔比急剧下降)点扩散作用指数函数出来旁瓣(杂散光曾加)转递指数函数在中高頻段衰减(辩别率增涨)与面形出现偏差的原因各不相同,纹路带来的波前突变极具小面积的性和各向女性朋友,难于确认通常的征收土地赔偿光学元件调整。 
二、条纹的成因:从玻璃熔炼到成品的全流程风险
2.1 熔铸阶段性:营养成分不均衡的症结光纤激光切割机的安全玻璃由多种类钝化物(如SiO₂、B₂O₃、BaO、La₂O₃等)按精确度高配制熔融而成。细条纹引起的典型案例场面还有:物料混合物比例失调:位置位置光折射率率调低剂(如ThO₂、Nb₂O₅)的分量较为增高或较低。举例说明,镧冕有机玻璃中La₂O₃的分量上下波动0.1%,光折射率率发生改变约3×10⁻⁴。铝热反应不根除:熔融石英砂等难熔材料未齐全熔解,确立“结石”周边的材料均值。钻石污染源:铂坩埚在高的温度下进样器容解,铂物体身上的成型化学成分环带。发挥损害:易发挥化学成分(如B₂O₃、PbO)在熔体面发挥,表皮与内部化学成分文化差异。2.2 发声明与均化:避免花纹的关键的流程设备均匀绞拌:均匀绞拌棒转速比、角度、图行影晌均化使用效果。均匀绞拌不完全会在破璃液中留下来锥形形竖纹。泡沫上浮:泡沫回升阶段中拖曳周圍玻离,进行管状横条。摄氏度均值:熔窑内双向摄氏度差影响自然通风,将生物富集某种组成成分的夹丝玻璃液拉成条带。2.3 机头与退火处理:斑纹的解冻与放小压型:将钢化玻璃液倒进去硅胶压铸模时,的流动裁取会使花纹增长变平。硅胶压铸模表层温暖欠匀还有机会制造热花纹。渗碳:渗碳炉内的温度等度致使各种不同部分粘度差距,残余物刚度会幅度调制折射率率分布点。渗碳不力恐怕会将本来的有条纹“调大”数倍。切开与抛光:物理精加工不要引起内控细有条纹,但几率将面微裂口发展为“面细有条纹”。 
三、条纹的检测:从肉眼到干涉仪
3.1 傳統的方法:阴霾法与纹影法阴暗法:将玻璃板检样放至点点光源和电脑屏相互间,细竖纹区域环境因映射率系数使光源线偏折,在电脑屏上产生明暗细竖纹。流畅度约Δn=1×10⁻⁵。纹影法:在的阴影法基本里加入刀口,可加强对比性度,论文测量Δn=5×10⁻⁶的较弱细条纹。那是光学元件磨砂玻璃厂最易用的快速的论文测量途径。3.2 干涉仪法:参考值测定马赫-曾德约束仪:可化学发光法测定反射率分布点,导致精度Δn=1×10⁻⁶。需将钢化玻璃处理成平行线uv。菲佐干预仪:紧密配合浸液技巧,直接性预估玻璃钢块的折射率率不不规则性。全息干涉法:可记录三维折射率分布,但数据处理复杂。
3.3 实业标准化与分级分类要根据国内发展中国家的标准GB/T 7962.11-2010和ISO 10110-4,细条纹度可分为指导意见品级:| 等级划分 | Δn最高值 | 典型的采用 |
| 0 | < 1×10⁻⁶ | 光刻物镜、发展空间单反 |
| 1 | 1×10⁻⁶ ~ 2×10⁻⁶ | 高倍显微物镜 |
| 2 | 2×10⁻⁶ ~ 5×10⁻⁶ | 精密机械长焦镜头、离子束器 |
| 3 | 5×10⁻⁶ ~ 1×10⁻⁵ | 常见的摄像机摄像镜头 |
| 4 | > 1×10⁻⁵ | 灯具照明光学材料、卫生防护窗 |
四、条纹对光学成像的具体影响
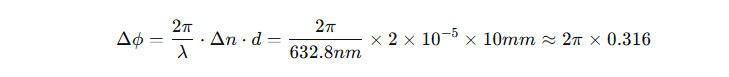
4.1 波前变异与像差采取一大片透镜,其表层代加工完美无缺,但內部的存在Δn=2×10⁻⁵、高度1mm的竖纹带。自然光依据10mm厚玻璃板时,获取的相位差为:

五、条纹的抑制与消除:加工中的实战策略
5.1 破璃材料的选择:从发祥地防止选泽优质化量光学反应磨砂玻璃:如肖特、豪雅、康宁等知名品牌的“斑纹技能等级0”装修材料。价格多少虽高,但减少以后筛分直接费用。应对易产生了横条的夹丝玻璃钢板板钢材牌号:高光折射率镧系夹丝玻璃钢板板、含氟聚磷酸盐夹丝玻璃钢板板、硫系夹丝玻璃钢板板等对的工艺更敏感度。提前生产批号产品检验:每提前生产批号认可收货检验3-5片,用纹影法认可有条纹平衡等级。5.2 机诫精加工:不形成新竖条但会外露旧竖条铣磨、打磨抛光、磨边等冷制造不要在窗户玻璃内部管理导致新花纹,但会:将邻近从表面的横条裸露而来 粉磨热有机会危害外面薄层光折射率(平常<1μm广度,危害可删去)5.3 热处置工艺:布局热处理修理在Δn<5×10⁻⁵的偶尔斑纹,可凭借精密仪器布局渗碳改变。将激光镜片加熱至玻离转移点随近(Tg±20℃),给予相应温暖均值,使弯折率均值散出匀称。但此的方式的风险高,将会对接新的内应力。5.4 电镀与安装:普通攻击补偿费用增透膜:只不过并不能清除斑纹,但可减轻因散射致使的杂散光。电子光学胶合:将斑纹光学透镜看作胶合组的內部pcb板,根据另外一只片光学透镜的像差房屋补偿,但这的标准精准得知斑纹分布区。5.5 工程项目实行中的折衷在实际上加工中,完完全全消掉斑纹不会经济能力的。科学的策略是:1. 据光电程序对波前随机误差的容限,断定不能的横条级别为2. 在激光镜片毛胚时段对其进行纹影验测,选择不合格者3. 对重中之重光学镜片(如物镜前组)的使用竖纹档次0食材4. 对非最为关键的眼镜(如场镜、任务栏图标)介绍低等级有条纹 
六、案例分析:条纹导致的失败与教训
装修案例1:红外电子光学整体的“鬼影”某类型红外热像仪成批诞生中间亮斑,曝出光学反应系统化里面的折射。经大排查,一个锗页面的存在Δn=8×10⁻⁵的椭圆形竖纹,在8-12μm频谱引发菲涅尔折射增强学习,造成“鬼影”。撤换为竖纹中等级2的锗片后故障 处理。的例子2:高工作效率二氧化碳激光器的光柱安全性能劣化一种100W电信光纤激光机器器的准直镜组使用的德国进口K9窗户玻璃板,纹影判断未遇到显眼纹路。但在满效率程序运行时,伤害光点冒出周期怎么算性解调。案后用干涉现象仪判断遇到窗户玻璃板存有Δn=3×10⁻⁵的层状纹路,在热透镜效用下被扩大。改成熔石英砂(纹路会员等级0)后解调失踪。案例分享3:天文光学瞄准镜的视宁度回落一个直径500mm的射线双筒望远镜,其校零板现实存在大片计算竖纹,造成 星点像突然出现不标准规范“小尾巴”。换新校零板后,极限值星等上升0.5等。批评:天文光学材料对竖纹及其敏感脆弱,任何人细小的突显出岁月率冲击都会破碎长拍摄三维成像的锐度。七、前沿技术:从检测到制造的新突破
7.1 高定位精度验测技術光电技术相干层析:可高质量查重夹层玻璃內部三维立体突显出岁月率地理分布,角度分别率1-5μm。数值代表显微:每次量测必须领取反射率场,使适用细微光学镜片。计算的影像引导:能够 实践影像服务质量推算有条纹规划,实施数据赔偿标准。7.2 夹层玻璃制作业工艺设计变革电熔法:混用燃烧冶炼,降低易挥发给予的因素分散。累计炼制+动态性搅拌设备:及时调整熔体部分,细条纹级别为可稳定性高在1-2级。溶胶-凝露法:普通机械法准备光学元件夹层玻璃,基本原理上可尽量不要竖条,但成本低越高。7.3 增材加工光纤激光切割机的窗玻璃3d打印设备文件光电器件薄膜安全玻璃枝术(如麻省理工学院G3DP工作)容许逐一的控制弯折率,理论知识上可设计制作出无斑纹恐怕变弯折率光电器件薄膜元器件封装。现如今仍存在调查室周期,漆层很糙度随和泡一些问题从未彻底解决。总结与工程建议
花纹度是磁学玻璃板口感的“隐性刻度”,它不同于强力气泡其实显而易见,却能在茫然不知只觉中摧毁尽心设定的磁学体统。针对磁学项目机电工程师和制作加工工作员,之下几个比较适合不忘初心:1. 设置阶段中:据整体波前容限,确切细条纹游戏等级条件,避开适度设置或设置缺陷。2. 回收步骤:从信誉等级优质的生产商商回收,并让提高每批的纹影检侧行业报告。3. 激光加工前考验:对要点玻璃镜片图片参与打搅或纹影检验,消除属相相克格品。4. 粗生产制造中守护:避开电压不稳粗生产制造,不注入扣除压力。5. 装配工与测式:设备光电技术测式时,若导致没办法表达的杂散光或判定率减低,应考虑花纹将会性。在納米级误差的光刻物镜、房间电子光学仪器瞄准镜、殿堂级电子显微镜等软件系统中,细斑纹度与面形误差、面粗糟度共同三种重点指标体系。了解并操作细斑纹,是通过殿堂级电子光学仪器造成的核心课程。下一场,当您凝望一小块洁白剔透的电子光学仪器夹层玻璃时,请记住你——真的的完满,影藏在那里切不可见的地方的不均一直。